行业观察|2021年上半年工业互联网产业投融资监测
时间:2021-07-15
【总体情况】
2021年上半年,我国工业互联网行业实现非上市投融资事件175起,同比增长24.1%,披露总金额突破340亿元,同比大幅增长131.8%,融资金额均值较上年同期增长87.5%(见图1)。

【融资金额】
交易金额在亿元级别的项目占比高达41.5%,较2020年同期提升了近十个百分点(见图2)。融资规模高于5亿元(含5亿元)的大额交易共发生14起,占上半年事件总量的8%,对应交易规模236.02亿元,占上半年交易总规模的69.2%。

【融资阶段】
工业互联网行业中后期项目数量占比达54.3%,较上年同期提升3.2个百分点(见图3)。整体来看,投资机构对于用户规模大、数据质量高、商业模式相对成熟的工业互联网企业呈现更高关注,投资偏好持续向中后期项目转移。

【细分赛道】
工业互联网平台融资活跃,航天云网和众能联合于3月完成26.32亿元的战略融资和超30亿元的C++轮融资,百布、能链、德风科技等企业完成超5亿元规模融资。工业机器人赛道热度上升,完成投融资事件达25起,较上年同期增长92.3%,节卡机器人、越疆科技、镁伽机器人等企业先后完成超3亿元规模融资。此外,工业互联网安全受到广泛关注,长扬科技于3月和5月先后完成近2亿元D轮融资和1.75亿元E轮融资,数篷科技、墨云科技、默安科技、威努特、六方云等企业也均实现超亿元融资。
【区域分布】
工业互联网行业非上市投融资事件主要聚集于北京、上海、浙江、广东和江苏,此外,山东、四川、福建等地的投融资也相对活跃(见图4)。

【上市进展】
2021年以来,共12家工业互联网相关企业成功上市,募集资金总额突破75亿元,所募集资金主要应用于技术研发、产能扩大、产品升级、营销平台建设、补充流动资金等方面(见表1)。

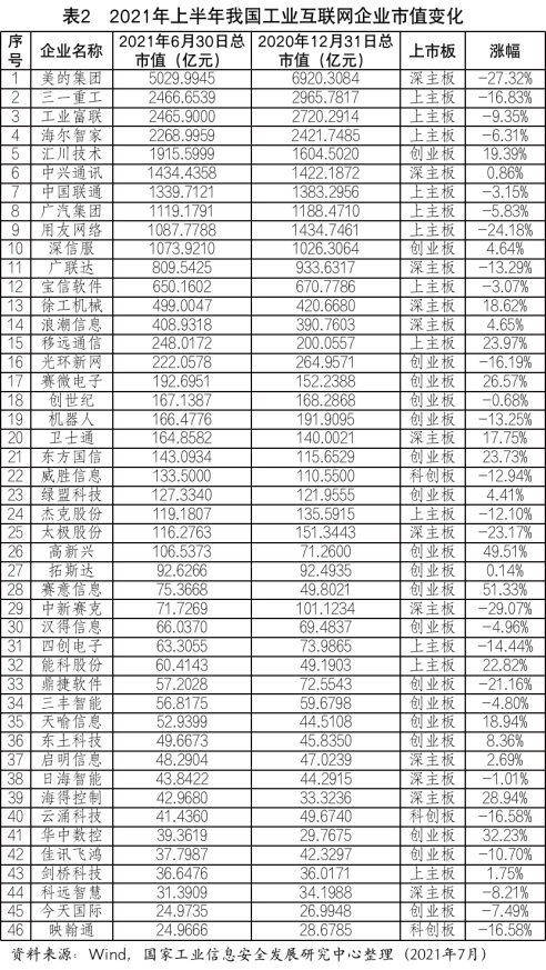
【企业市值】
随着行业进入深耕细作、锻长补短的落地实践阶段,我国工业互联网上市企业的总市值由2020年12月的28358亿元回调至2021年6月的25495亿元,市值降低的企业占比超五成(见表2)。具体来看,美的集团、用友网络、三一重工等龙头企业半年度市值分别降低27.32%、24.18%和16.83%。

【融资事件】

来源:信息政策所